|
|
|
力控的策略控製器可以方便地實施多種控製算法,在這裏我們以PID為例介紹如何在力控中組建一個PID控製係統。 多年以來,在過程控製中,按偏差的比例(P)、積分(I)和微分(D)進行控製的PID控製器(亦稱PID調節器)是應用最為廣泛的一種自動控製器。它具有原理簡單,易於實現,適用麵廣,控製參數相互獨立,參數的選定比較簡單等優點;而且在理論上可以證明,對於過程控製的典型對象──“一階滯後+純滯後”與“二階滯後+純滯後”的控製對象,PID控製器是一種最優控製。PID調節規律是連續係統動態品質校正的一種有效方法,它的參數整定方式簡便,結構改變靈活(PI、PD、…)。長期以來被廣大科學技術人員及現場操作人員所采用,並積累了大量的經驗。 連續係統PID調節器為對誤差的比例、積分和微分控製,即
 或
 式中:Ti、Td分別為積分和微分時間常數;Kp、Ki、Kd分別為比例係數、積分係數、微分係數。在計算機控製係統中使用的是PID數字調節器,就是對式(1)離散化 ,令
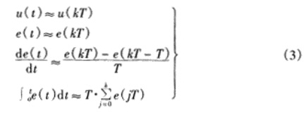
 式中,T是采樣周期。由式(1)與式(3)可得
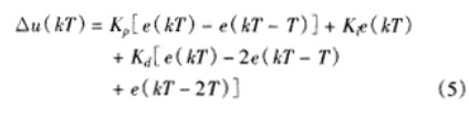
 式(4)稱為位置式PID控製算法。 由you於yu位wei置zhi式shi算suan法fa輸shu出chu在zai計ji算suan過guo程cheng中zhong容rong易yi產chan生sheng積ji分fen飽bao和he作zuo用yong,導dao致zhi控kong製zhi器qi的de響xiang應ying速su度du變bian慢man,而er且qie由you於yu積ji分fen的de累lei積ji作zuo用yong,在zai手shou動dong和he自zi動dong切qie換huan時shi,很hen難nan做zuo到dao無wu擾rao動dong切qie換huan。因yin此ci,人ren們men又you提ti出chu一yi種zhong新xin的de控kong製zhi算suan法fa,PID增量式控製算法:
 zailikongdecelvekongzhiqizhongcaiyongdeshizengliangshisuanfa,danshishuchucaiyongweizhishishuchu。jibashangcishuchujiashangbencijisuandezengliangshuchujidedaobencideweizhishishuchu。 PID控製回路有三種方式,手動,自動和串級,在手動狀態下,PID控製回路相當於手動調節器。在自動狀態下,PID控製回路完成PID算suan法fa,設she定ding值zhi由you操cao作zuo站zhan給gei定ding,在zai串chuan級ji狀zhuang態tai,設she定ding值zhi由you主zhu回hui路lu的de輸shu出chu給gei定ding。當dang回hui路lu處chu於yu手shou動dong狀zhuang態tai下xia時shi,設she定ding值zhi具ju有you自zi動dong跟gen蹤zong測ce量liang值zhi功gong能neng,以yi便bian從cong手shou動dong切qie換huan到dao自zi動dong狀zhuang態tai時shi,切qie換huan時shi是shi無wu擾rao動dong的de;當回路處自動狀態時,主回路的輸出自動跟蹤副回路的設定,以便當下一級控製回路從自動切換到串級時,切換時是無擾動的。 其實現過程如下: 1)如果是緊急狀態,則進入安全態處理。不執行以下步驟。 2)如果存在副回路,並且副回路不處於串級狀態,則該回路: a),如果副回路是手動狀態,則該回路進入手動狀態,並且輸出跟蹤副回路的設定值; b),如果副回路是自動狀態,輸出跟蹤副回路的設定值。 不執行以下步驟。 3)如果該回路是手動狀態,則直接輸出,不執行以下步驟; 4)檢查輸入和設定值是否超限,如果超限,進行超限處理; 5)則計算偏差。檢查是否有偏差死區,如果有,則處理偏差死區; 6)計算PID的控製輸出; 7)判斷輸出和變化率是否超限,如果超限則進行處理。 在力控的策略控製器中,很容易就可以實現一個PID回路。先進入力控的策略控製器組態環境Strategy Builder,如果沒有主策略,這時會提示建立一個主策略,如果已經存在一個主策略,則打開該策略(或打開其它的子策略)。在左側的導航器中選擇工具\控製算法\PID控製器,然後在右邊的工作區點擊鼠標,就可以畫出一個PID控製塊。選中該塊,可以改變其參數,如點名、比例、積分、微分等各種參數。再選擇輸入輸出變量,輸入變量可以是力控實時數據庫中的變量,也可以是策略控製器中的I/O點。在本例中,我們用實時數據庫中的點來實現。如同畫PID控製塊一樣,選擇工具\變量\數據庫輸入變量(數據庫輸出變量)畫出兩個數據庫變量引用塊。然後在屬性中選擇輸入輸出的變量。在輸入變量aaa.pv的輸出管腳上雙擊,再在PID控製塊的PV管腳上雙擊,這樣就在兩者之間形成了一條線,這表示把aaa.pv的值作為PID控製塊的測量值。同樣把PID控製塊的輸出連接到aaa1.pv上。如下圖所示:
 然後,從菜單中選擇編譯和運行中選擇編譯當前工程,然後,運行當前工程,就可以實施PID控製了。 PID參數的選擇: 數字PID調節器參數的整定可以仿照模擬PID調節器參數整定的各種方法,根據工藝對控製性能的要求,決定調節器的參數。這裏就各個參數對係統性能的影響簡單加以說明。 ①比例係數P對係統性能的影響:比例係數加大,使係統的動作靈敏,速度加快,穩態誤差減小;P偏大,振蕩次數加多,調節時間加長;P太大時,係統會趨於不穩定;P太小,又會使係統的動作緩慢。P可以選負數,這主要是由執行機構、傳感器以及控製對象的特性決定的。如果P的符號選擇不當對象測量值就會離控製目標的設定值越來越遠,如果出現這樣的情況P的符號就一定要取反。同時要注意的是,力控的策略控製器的PID控製塊的P參數是PID控製中的增益。 ②積分控製I對係統性能的影響:積分作用使係統的穩定性下降,I小(積分作用強)會使係統不穩定,但能消除穩態誤差,提高係統的控製精度。 ③微分控製D對係統性能的影響:微分作用可以改善動態特性,D偏大時,超調量較大,調節時間較短;D偏小時,超調量也較大,調節時間也較長;隻有D合適,才能使超調量較小,減短調節時間。
|
|
狀 態:
離線
公司簡介
產品目錄
|
|
|
公司名稱:
|
力控科技
|
| 聯 係 人: |
張平
|
| 電 話: |
010-59835588
|
| 傳 真: |
|
| 地 址: |
北京市海澱區農大南路33號興天海園二層 |
| 郵 編: |
100193 |
| 主 頁: |
|
|
|
|
|