|
李定軍
關鍵詞:PID控製;LabVIEW;NI DAQ設備
zaizidongkongzhizhong,yigexitongdeyunxingyaoqiunenggoumanzugeidingdexingnengzhibiao,juyoukangganraonenglihewendingxing。duiyubeikongzhideduixiang,qibenshendewulijiegouhegongzuoguochengshiyidingde,zaigeidingxinhaozuoyongshi,duixiangdeshuchubingbuyidingnengmanzuxitongdexingnengyaoqiu,suoyixuyaojiaruyigekongzhiqi。kongzhiqiyubeikongduixiangyibihuandexingshigouchengxitong,yibangzhuzhenggexitongdeshuchumanzugeidingdexingnengzhibiao,erkongzhiqiyunyongdekongzhiguilvduozhongduoyang。
PID(Proportional Integral Derivative比例微分積分)控製是控製工程中技術成熟,應用廣泛的一種控製策略,它經過長期工程實踐,已形成了一套完整的控製方法和典型的結構。
PID控製
PID控製器結構簡單、穩定性好、工作可靠、tiaozhengfangbian。dangbeikongduixiangdejiegouhecanshubunengwanquanbeizhangwo,huodebudaojingquedeshuxuemoxingshi,kongzhililundeqitajishunanyicaiyong,xitongkongzhiqidejiegouhecanshubixuyikaojingyanhexianchangtiaoshilaiqueding,zheshiyingyongPID控製技術最為方便。因此當我們不能完全了解一個係統和被控對象,或不能通過有效的測量手段來獲得係統參數時,就是PID的用武之地(圖1)。

圖1 PID控製係統
PIDgumingsiyi,jiushigenjuxitongwuchaliyongbili,weifen,jifenjisuanchukongzhiliangjinxingkongzhi。bili,jifen,weifenzhesangehuanjieyouxianghuduli,yougezibutongdezuoyong,zaixianchangyekeyigenjushijiqingkuanglaixuanzeshiyong。
P控製(比例控製)
如果控製器的輸出僅僅與誤差成正比關係,即u(t)=Kpε(t),便構成了一個比例控製器,可見比例控製器實際上是一個增益可調的放大器(圖2)。比例控製器通過改變比例放大係數Kptiaojieshuchu,duiwuchadefanyinghenkuai,danshiqishuchuyuqiwangzhizhijianzongshicunzaiyigewentaiwucha,bixushiyongshoudongfuweilaixiaochu,zaishijiyunyongzhonghenbufangbian。tigaoKp值可以增加係統的開環增益,使穩態誤差減小,還能夠增加係統的快速性;但容易使係統的穩定程度變差,振蕩變多。而當Kp值小時,又會使係統動作變得緩慢,所以校正係統很少單獨使用P控製。

圖2 比例控製
I控製(積分控製)
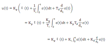
由於P控製存在穩態誤差需要手動複位,人們發現可以通過引入一個積分項來消除穩態誤差。積分控製器的輸出與誤差信號的積分成正比,即  ,所以PI控製器的輸出有:

(式1)
積ji分fen項xiang對dui誤wu差cha進jin行xing積ji分fen,隨sui著zhe時shi間jian的de增zeng加jia積ji分fen項xiang增zeng大da,隻zhi要yao誤wu差cha還hai存cun在zai,就jiu會hui不bu斷duan輸shu出chu。這zhe樣yang,即ji便bian誤wu差cha很hen小xiao,積ji分fen項xiang也ye會hui隨sui著zhe時shi間jian的de增zeng加jia而er加jia大da,推tui動dong控kong製zhi器qi的de輸shu出chu增zeng大da使shi穩wen態tai誤wu差cha進jin一yi步bu減jian小xiao,直zhi到dao等deng於yu零ling,以yi達da到dao消xiao除chu穩wen態tai誤wu差cha的de目mu的de。因yin此ci,PIkongzhiqi,keyishixitongzaijinruwentaihouwuwentaiwucha。danshiduishijiandejifenbijiangyingxiangxitongdekuaisudongtaixingneng,duiyuyixiexitonghuichuxianchaotiaoguodadexianxiang,yanzhongdeshenzhiyinqixitongbengkui。
D控製(微分控製)
積分控製的動態性能不好,而微分項恰好可以彌補這點。微分控製器的輸出和誤差信號的微分成正比,即  ,所以PD控製器的輸出有:

(式2)
微(wei)分(fen)作(zuo)用(yong)反(fan)映(ying)的(de)是(shi)誤(wu)差(cha)信(xin)號(hao)的(de)變(bian)化(hua)率(lv),所(suo)以(yi)對(dui)係(xi)統(tong)控(kong)製(zhi)具(ju)有(you)預(yu)見(jian)性(xing),能(neng)預(yu)見(jian)誤(wu)差(cha)的(de)變(bian)化(hua)趨(qu)勢(shi),因(yin)此(ci)能(neng)產(chan)生(sheng)超(chao)前(qian)的(de)控(kong)製(zhi)作(zuo)用(yong)。甚(shen)至(zhi)在(zai)誤(wu)差(cha)形(xing)成(cheng)之(zhi)前(qian),可(ke)能(neng)已(yi)被(bei)微(wei)分(fen)調(tiao)節(jie)作(zuo)用(yong)消(xiao)除(chu)。所(suo)以(yi)如(ru)果(guo)微(wei)分(fen)時(shi)間(jian)選(xuan)擇(ze)合(he)適(shi),可(ke)以(yi)減(jian)少(shao)超(chao)調(tiao)和(he)係(xi)統(tong)調(tiao)節(jie)時(shi)間(jian),使(shi)係(xi)統(tong)的(de)動(dong)態(tai)性(xing)能(neng)大(da)大(da)提(ti)高(gao)。微(wei)分(fen)控(kong)製(zhi)在(zai)實(shi)際(ji)運(yun)用(yong)中(zhong)經(jing)常(chang)用(yong)來(lai)抵(di)消(xiao)積(ji)分(fen)控(kong)製(zhi)產(chan)生(sheng)的(de)不(bu)穩(wen)定(ding)趨(qu)勢(shi),但(dan)因(yin)其(qi)反(fan)應(ying)的(de)是(shi)誤(wu)差(cha)的(de)變(bian)化(hua)率(lv),所(suo)以(yi)僅(jin)對(dui)動(dong)態(tai)過(guo)程(cheng)作(zuo)用(yong),通(tong)常(chang)不(bu)單(dan)獨(du)使(shi)用(yong)。而(er)且(qie)微(wei)分(fen)控(kong)製(zhi)對(dui)噪(zao)聲(sheng)幹(gan)擾(rao)有(you)放(fang)大(da)作(zuo)用(yong),過(guo)強(qiang)地(di)調(tiao)節(jie)微(wei)分(fen)項(xiang)對(dui)係(xi)統(tong)抗(kang)幹(gan)擾(rao)能(neng)力(li)不(bu)利(li)。
PID控製
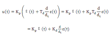
PID控製即比例控製、積分控製、微分控製的組合,綜合了3種控製器的優點。在實際運用中,有時也不需要用到全部的3個部分,隻有比例控製單元是必不可少的。對於PID控製器,輸出為:

(式3)
PID控製實際就是根據經驗,對Ki,Kd這3個參數進行整定,以得到合適的輸出值對係統進行控製。具體如何整定,根據不同的現場有所不同。目前PID不僅應用廣泛,發展也很快,已研究出很多對這3個參數進行自整定的智能控製器。在和計算機這樣的數字控製器結合後,還出現了數字PID的設計方法,不過具體原理還是遵循於傳統。
|