|
摘要:文wen章zhang介jie紹shao了le等deng精jing度du測ce頻pin方fang法fa和he傳chuan統tong測ce頻pin方fang法fa的de原yuan理li並bing進jin行xing了le誤wu差cha分fen析xi,提ti出chu了le應ying用yong等deng精jing度du測ce頻pin方fang法fa測ce量liang機ji組zu轉zhuan速su,給gei出chu了le基ji於yu此ci方fang法fa進jin行xing機ji組zu轉zhuan速su測ce量liang的de軟ruan、硬件實現,並進行了係統測試,試驗結果表明,該係統具有測量精度高,抗幹擾能力強等優點,適合在電力自動化測控係統中應用。
0 引言
電(dian)力(li)係(xi)統(tong)的(de)頻(pin)率(lv)反(fan)映(ying)了(le)發(fa)電(dian)機(ji)組(zu)發(fa)出(chu)的(de)有(you)功(gong)功(gong)率(lv)與(yu)負(fu)荷(he)所(suo)需(xu)有(you)功(gong)功(gong)率(lv)的(de)平(ping)衡(heng)情(qing)況(kuang)。高(gao)精(jing)度(du)和(he)高(gao)可(ke)靠(kao)性(xing)的(de)頻(pin)率(lv)測(ce)量(liang)對(dui)整(zheng)個(ge)電(dian)力(li)係(xi)統(tong)的(de)穩(wen)定(ding)運(yun)行(xing)有(you)著(zhe)至(zhi)關(guan)重(zhong)要(yao)的(de)作(zuo)用(yong),機(ji)組(zu)在(zai)開(kai)停(ting)機(ji)過(guo)程(cheng)中(zhong),頻(pin)率(lv)變(bian)化(hua)範(fan)圍(wei)比(bi)較(jiao)大(da),變(bian)化(hua)速(su)度(du)比(bi)較(jiao)快(kuai),傳(chuan)統(tong)的(de)測(ce)頻(pin)方(fang)法(fa)由(you)於(yu)固(gu)有(you)的(de)缺(que)陷(xian),難(nan)以(yi)很(hen)好(hao)解(jie)決(jue)這(zhe)一(yi)問(wen)題(ti)。等(deng)精(jing)度(du)測(ce)量(liang)方(fang)法(fa)的(de)測(ce)量(liang)精(jing)度(du)不(bu)隨(sui)被(bei)測(ce)脈(mai)衝(chong)的(de)頻(pin)率(lv)高(gao)低(di)變(bian)化(hua)而(er)改(gai)變(bian),隻(zhi)與(yu)標(biao)準(zhun)計(ji)數(shu)器(qi)有(you)關(guan),可(ke)以(yi)使(shi)測(ce)量(liang)精(jing)度(du)大(da)大(da)提(ti)高(gao),並(bing)且(qie)閘(zha)門(men)時(shi)間(jian)可(ke)變(bian),可(ke)快(kuai)速(su)反(fan)應(ying)頻(pin)率(lv)的(de)變(bian)化(hua)。
1 傳統測量方法的原理及誤差分析
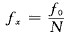
傳統測量方法有2種,一種是測頻法(M 法),是對被測信號在閘門時間(T―Nfo,N 個基準信號脈衝的時間)內的脈衝進行計數(計數值為M),被測信號的頻率為 ,誤差為 
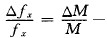
另一種是測周法(T法),是在被測信號一個周期內對基準脈衝計數(計數值為N),被測信號的頻率為 , 誤差為 。
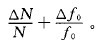
其中, 為基準信號頻率準確度,通常可達 ;對於測頻法,在相同的閘門時間內,對於任意的f不能保證在T時間內正好有M 個T ,因此會產生最大±1個T 的量化誤差,並且隨著被測頻率f 減小,M 減小,誤差越大,因此,測頻法隻對高頻信號有較好的測量精度;對於測周法,隨著被測頻率.f 增大,N 越小,誤差越大,因此測周法隻對低頻信號有較好的測量精度。在測量範圍比較寬時,采用上述2種方法相結合的方式,無疑對提高測量精度是有效的,但又存在著如下問題:一是整個頻段測量精度不一致;二是中界頻率附近頻繁切換測量方法,誤差大,實時性差。
2 等精度測量方法的原理及誤差分析
等精度測頻法是在傳統測頻方法基礎上發展起來的測頻方法,並且在各個領域的測頻中得到了越來越多的應用。
等精度測頻法原理如圖1所示。
設置2個計數器,計數器1對被測信號進行計數,計數器2對基準信號進行計數。預先設置一個閘門時間T,測量開始後,當被測信號的下一個前沿到來時,同步打開計數器1和計數器2開始計數,閘門時間到達後,計數器I和計數器2都不停止計數,直到被測信號的前沿到來時,同步關閉計數器1和計數器2。被測信號的頻率可表示為: 誤差為: ,其中M為計數器l計數值,N 為計數器2計數值,f為基準頻率,可以看出,它與傳統測頻法的表達式相同,不同的是,計數器1的工作是由被測脈衝同步開啟和關閉,因此不存在計數誤差,即99 ,由you此ci可ke見jian,這zhe種zhong方fang法fa的de測ce量liang精jing度du不bu隨sui被bei測ce信xin號hao的de頻pin率lv變bian化hua而er變bian化hua,在zai全quan量liang程cheng範fan圍wei內nei測ce量liang值zhi顯xian示shi的de有you效xiao位wei數shu相xiang同tong,即ji等deng精jing度du測ce量liang。一yi般ban情qing況kuang下xia,1010 ,所以這種方法的測量誤差主要是對基準信號的計數存在±1誤差引起的。因此可以看出,基準信號頻率越高,在相同的閘門時間的情況下,測量精度越高。另外,閘門時間T越長,計數N 越多,測量精度越高。然而,T和N shouduozhongyinsuzhiyue,bukenengrenyizengjia,shouxianshigongchengdeyaoqiu,yaofanyinghelejiezhuansudebianhuachengdu,bixucaiyongjiaoduandeshijian。shuilunjizuzhuansuzaikaitingguochengzhongcong0~5O Hz變化,不超過100 Hz,在實際應用中,可適當選擇閘門時間和基準信號頻率,可使測量能夠在全頻段實現高精度的快速測量。
http://www.fly-sun.com.cn
3 在ARM 測量係統中的實現方案
應用等精度測量方法,機組轉速測控係統采用ARM7的LPC2214為CPU,LPC2214具有2個32位的定時器/計數器,每個定時器/計數器具有如下特性E :
1)帶可編程32位預分頻器的32位定時器/計數器。
2)每個定時器的4個32位捕獲通道可在輸入信號跳變時捕獲定時器的瞬時值。捕獲事件可選擇產生中斷。
3)4個32位匹配寄存器:① 連續操作,可選擇在匹配時產生中斷;② 匹配時停止定時器,可選擇產生中斷;③ 匹配時複位定時器,可選擇產生中斷。
4)每個定時器有4個對應於匹配寄存器的外部輸出,具有下列特性:① 匹配時置低電平;② 匹配時置高電平;③ 匹配時翻轉;④ 匹配時不變。
本係統中采用了定時器/計數器0的匹配功能,用來控製閘門時間,定時器/計數器1的捕獲功能,用來監測被測信號。被測信號通過硬件整形電路變成與其頻率一致的方波信號,接入定時器/計數器1的捕獲管腳,開放其捕獲中斷功能,軟件響應中斷並進行相應的處理。計數頻率為2.211 840 MHz,閘門時間為0.5 s,誤差為1111 ,其中,1212 ,所以可以得出,理論上,等精度測頻在本係統中的測量精度優於 ,完全可以滿足工程需要。
在水輪機轉速測控係統中,為提高測量的可靠性,采用電氣(機端殘壓)信號和齒盤機械脈衝信號2種信號類型同時輸入的測量方式,計算得到的頻率值用於顯示,開出控製等。測量係統電路結構框圖如圖2所示。

係統程序主要包括初始化定時器/計數器,捕獲中斷處理,頻率計算,顯示,開出控製等子程序,係統流程如圖3所示。

使用RIGOL函數/任意波形發生器,產生頻率變化的正弦波形:① 500 S內模擬波形頻率從100 Hz下降到0.2 Hz,下降梯度為0.199 6 Hz/s; ②模擬波形頻率從100 Hz下降至1 Hz再從1 Hz上升至100 Hz,每10 Hz持續18 S;③每0.5 s記錄一次測量數據,分別得到如圖4所示波形1和波形2。
實驗證明,利用等精度測頻方式頻率,可以在整個測量範圍內取得比較高的測量精度,本測試係統的最大相對誤差小於1O~。閘門時間為0.5 S,可快速反應機組轉速的變化。
4 結語
等(deng)精(jing)度(du)檢(jian)測(ce)方(fang)法(fa)與(yu)傳(chuan)統(tong)測(ce)量(liang)的(de)測(ce)頻(pin)法(fa)和(he)測(ce)周(zhou)法(fa)相(xiang)比(bi),能(neng)夠(gou)實(shi)現(xian)全(quan)頻(pin)段(duan)內(nei)等(deng)精(jing)度(du),大(da)大(da)提(ti)高(gao)了(le)測(ce)量(liang)精(jing)度(du)。試(shi)驗(yan)結(jie)果(guo)表(biao)明(ming),在(zai)水(shui)輪(lun)機(ji)轉(zhuan)速(su)測(ce)控(kong)係(xi)統(tong)中(zhong)應(ying)用(yong)等(deng)精(jing)度(du)測(ce)量(liang)方(fang)法(fa),測(ce)量(liang)的(de)最(zui)大(da)相(xiang)對(dui)誤(wu)差(cha)優(you)於(yu) ,閘門時間可變,能夠快速反應機組轉速的變化。開發的SJ一22D微機轉速測控裝置已在多個水電站(廠)投入應用,運行準確可靠。
|