http://kadhoai.com.cn 2026-04-26 20:43:21 來源:中國自動化學會專家谘詢工作委員會
3 工業導軌式直流電源的基本調節原理
除了機械結構的設計和各種電連接方式之外,工業直流電源對控製調節的方法也是至關重要的。
一般工業直流電源分為非穩壓電源和穩壓電源。

圖1 工業直流電源分類
(1) 非穩壓直流電源
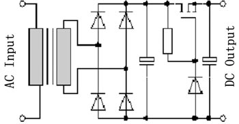
對於一個非工業穩壓直流電源來講,其電路非常簡單,交流輸入電壓經過一個50Hz的變壓器降壓後,進行橋式整流,再經過濾波電容進行濾波,然後產生輸出的直流電壓。

圖2 非穩壓電源的電路圖
由於這種電源采用了較少的部件,相對簡單的電路具有比較長的使用壽命及80%左右的效率優勢。而且價格非常便宜, 但(dan)是(shi)由(you)於(yu)電(dian)源(yuan)無(wu)穩(wen)壓(ya)功(gong)能(neng),當(dang)輸(shu)入(ru)電(dian)壓(ya)波(bo)動(dong)或(huo)者(zhe)輸(shu)出(chu)負(fu)載(zai)發(fa)生(sheng)波(bo)動(dong)的(de)情(qing)況(kuang)下(xia)輸(shu)出(chu)電(dian)壓(ya)也(ye)會(hui)產(chan)生(sheng)相(xiang)應(ying)的(de)波(bo)動(dong)。同(tong)時(shi),無(wu)輸(shu)出(chu)保(bao)持(chi)時(shi)間(jian),即(ji)輸(shu)入(ru)電(dian)壓(ya)和(he)輸(shu)出(chu)電(dian)壓(ya)無(wu)延(yan)遲(chi)時(shi)間(jian)。一(yi)般(ban)非(fei)穩(wen)壓(ya)電(dian)源(yuan)用(yong)於(yu)不(bu)需(xu)要(yao)恒(heng)定(ding)電(dian)壓(ya)輸(shu)出(chu)的(de)電(dian)動(dong)機(ji)械(xie)負(fu)載(zai),例(li)如(ru)接(jie)觸(chu)器(qi)、電磁開關等。
(2) 直流穩壓電源
穩壓裝置目前有2種zhong解jie決jue的de方fang法fa,一yi方fang麵mian是shi已yi被bei廣guang泛fan使shi用yong的de線xian性xing穩wen壓ya電dian源yuan,另ling一yi方fang麵mian開kai關guan穩wen壓ya電dian源yuan,隨sui著zhe電dian力li電dian子zi技ji術shu的de不bu斷duan發fa展zhan使shi越yue來lai越yue多duo場chang合he采cai用yong了le開kai關guan穩wen壓ya電dian源yuan。
(3) 線性穩壓電源
線性穩壓電源中,交流輸入電壓通過一個50Hz的變壓器進行變壓,然後進行橋式整流,並通過濾波電容進行濾波,這部分與非穩壓電源是非常類似的。
經過濾波後,穩壓回路由一個功率三極管構成的穩壓回路進行調節,功率三極管相當於一個可變電阻,輸出電壓的高低與這個“可變電阻”的比值成反比,這樣通過改變三極管的阻抗特征來保持輸出電壓保持不變。

圖3 線性調節直流電源的原理圖
根據電路結構,這類電路的效率大約在40%~60%之間。功率耗損主要發生在50Hz變壓器、濾波器、晶jing體ti管guan和he閉bi環huan控kong製zhi電dian路lu中zhong。輸shu入ru電dian源yuan的de變bian化hua範fan圍wei很hen小xiao,但dan是shi可ke以yi達da到dao很hen小xiao的de紋wen波bo係xi數shu,對dui環huan境jing汙wu染ran較jiao小xiao。對dui於yu線xian性xing穩wen壓ya電dian源yuan來lai講jiang,為wei了le提ti供gong有you用yong的de功gong率lv和he減jian少shao功gong率lv的de損sun耗hao,變bian壓ya器qi必bi須xu被bei設she計ji的de足zu夠gou大da。這zhe意yi味wei著zhe變bian壓ya器qi尺chi寸cun至zhi少shao要yao增zeng大da50%。線性穩壓電源主要用於需要精確的恒定輸出電壓,並對諧波分量要求高的場合。
(4) 開關穩壓電源
在開關穩壓電源中,交流輸入電壓直接進行整流,進行濾波,然後又逆變為交流,這些逆變操作是在頻率40kHz~180kHz的de功gong率lv開kai關guan晶jing體ti管guan進jin行xing。這zhe時shi產chan生sheng的de矩ju形xing波bo電dian壓ya通tong過guo一yi個ge高gao頻pin變bian壓ya器qi進jin行xing變bian壓ya或huo降jiang壓ya,開kai關guan穩wen壓ya電dian源yuan中zhong於yu線xian性xing穩wen壓ya電dian壓ya的de區qu別bie在zai於yu開kai關guan電dian源yuan是shi先xian整zheng流liu後hou變bian壓ya,穩wen壓ya電dian源yuan是shi先xian變bian壓ya後hou整zheng流liu的de。

圖4 開關穩壓電源的原理圖
在開關電源中,最關鍵的技術是直流—zhiliudezhuanhuan。zheliyunyongleyigekaiguanjingtiguanjiangzhiliudianyajinxingzhanbo,ranhouzaijinxingbianya。bianyahoudejiaoliudianyadepinlvbiqixianxingwenyadianyuanpinlvyaogaodeduo,zaixianxingwenyadianyuanzhuangzhizhong,jingtiguanbeidangzuoyigekebiandianzujinxinggongzuode,youyidingdedianzuliang,erzaikaiguanwenyadianyuanzhong,jingtiguanchuyukaiguanzhuangtai,zheshidadadejianshaolezaijingtiguanshangdegongsunhao,bianyaqidetijihezhongliangkeyibeidadajianxiao。gaopindejiaoliudianyajingguolvbohuiluzaicibeipinghua。shuchufuzaishangdedaoyigezhiliudianya。 輸出直流電壓的穩壓調節由脈寬調製器來實現,即在開關晶體管工作在一個固定頻率下,但改變接通時間長短(脈衝的寬度),以保證當負載發生變化時,輸出電壓保持不變。在一個周期內傳輸的能量可隨占空比ρ變化而定。
ρ = (tON) / (tON + tOFF)
這裏周期時間為(tON + tOFF),tON為開關晶體管接通時間,tOFF 為開關晶體管關斷時間,ρ表示開關晶體管接通時間所占整個周期的比例,可見占空比越大的話,輸出電壓越高。這周期時間的倒數稱為開關頻率。

圖5 脈衝占空比圖
開關電源的效率一般達到80%~90%以上,最近推入市場的德國普世電源效率達到了95.6%,比線性穩壓電源的效率提高了50%以上。因此開關電源中產生的熱損失更少,設備變得非常輕巧和緊湊。開關電源采用高頻進行變壓,可用高頻變壓器, 這樣一來變壓器的體積大大減少。電源的功率密度大大提高。較低的熱損耗、緊湊的設計以及較寬的輸入電壓範圍使的開關最適合用於分布式的控製櫃中。目前在工業自動化領域應用中廣泛的使用。
4 工業導軌式開關電源的變換器類型
對於開關電源來說,可采用不同類型的變換技術。一般來說,必須對單端變換器和推挽式雙驅動變換器做出區分。
單端變換器是最簡單的開關電源變換方式,主要分為單/雙晶體管反激式和單/雙晶體管正激式。雙驅動變換主要為推挽式。

圖6 開關電源變換器類型