ISO13849-1:2006新標準介紹 控製係統是機器的中樞,控製和檢測著整個機器設備的所有的輸入、輸(shu)出(chu),並(bing)確(que)保(bao)係(xi)統(tong)的(de)正(zheng)常(chang)運(yun)轉(zhuan),實(shi)現(xian)既(ji)定(ding)的(de)任(ren)務(wu)。所(suo)以(yi),評(ping)估(gu)一(yi)台(tai)機(ji)器(qi)的(de)功(gong)能(neng)和(he)安(an)全(quan),控(kong)製(zhi)係(xi)統(tong)常(chang)常(chang)是(shi)評(ping)估(gu)的(de)重(zhong)要(yao)對(dui)象(xiang)。控(kong)製(zhi)係(xi)統(tong)作(zuo)為(wei)工(gong)廠(chang)機(ji)器(qi)設(she)備(bei)的(de)重(zhong)要(yao)組(zu)成(cheng)部(bu)分(fen),在(zai)確(que)保(bao)機(ji)器(qi)的(de)可(ke)靠(kao)工(gong)作(zuo)和(he)安(an)全(quan)運(yun)行(xing)中(zhong)起(qi)著(zhe)非(fei)常(chang)重(zhong)要(yao)的(de)作(zuo)用(yong)。無(wu)論(lun)設(she)備(bei)大(da)小(xiao),功(gong)能(neng)差(cha)異(yi),其(qi)控(kong)製(zhi)係(xi)統(tong)不(bu)外(wai)乎(hu)分(fen)為(wei)電(dian)氣(qi)、機械、液壓和氣動等係統,或由其中幾個部分組成。然而如何確保一台設備控製係統的安全和可靠工作,卻是一個非常複雜的問題。 EN954-1的不足 在過去,我們評估一個控製係統的安全,常常是確定該控製係統的安全控製類別(CONTROL CATEGORY),這是根據EN954-1標(biao)準(zhun)的(de)要(yao)求(qiu)。但(dan)是(shi)隨(sui)著(zhe)新(xin)興(xing)技(ji)術(shu)的(de)不(bu)斷(duan)湧(yong)現(xian),這(zhe)種(zhong)標(biao)準(zhun)不(bu)能(neng)滿(man)足(zu)技(ji)術(shu)不(bu)斷(duan)進(jin)步(bu)的(de)要(yao)求(qiu),加(jia)上(shang)該(gai)標(biao)準(zhun)本(ben)身(shen)存(cun)在(zai)的(de)一(yi)些(xie)缺(que)陷(xian),使(shi)得(de)對(dui)新(xin)標(biao)準(zhun)要(yao)求(qiu)的(de)呼(hu)聲(sheng)越(yue)來(lai)越(yue)高(gao)。首(shou)先(xian)因(yin)為(wei)EN954-1標準已經使用了10多年,而沒有進行過更新,使得該標準不能適用現在一些新興技術的要求;其次,該標準主要適用氣動、液壓、電氣和部分確定的電子產品係統,不能涵蓋目前所有控製係統,特別是電子技術的快速發展;第三,使用EN954-1是建立在一定的經驗基礎和條件上,對控製係統進行的評估和確定,對於新出現的控製方法則顯得力不從心;第四,EN954-1給大家提供的隻是對一個係統定性的評估,沒有也無法實現定量化判斷係統的安全性;diwu,guoqudebiaozhunduiyukongzhixitongdezuchenghoudewaijieyinsudoujiadingshiyichengbubiande,ermeiyoukaolvdaoyiwaiyinsuduixitongkekaoxingheanquanxingdeyingxiang。lingwaigaibiaozhunzai1999年已經升級為ISO13849-1標(biao)準(zhun)。作(zuo)為(wei)國(guo)際(ji)標(biao)準(zhun),必(bi)須(xu)能(neng)夠(gou)協(xie)調(tiao)吸(xi)納(na)最(zui)新(xin)的(de)普(pu)遍(bian)使(shi)用(yong)的(de)技(ji)術(shu),有(you)必(bi)要(yao)時(shi)常(chang)進(jin)行(xing)標(biao)準(zhun)更(geng)新(xin),使(shi)之(zhi)能(neng)夠(gou)更(geng)完(wan)善(shan)更(geng)科(ke)學(xue)。鑒(jian)於(yu)此(ci)種(zhong)種(zhong)因(yin)素(su),新(xin)的(de)國(guo)際(ji)標(biao)準(zhun)在(zai)2006年出現。即ISO13849-1:2006版。
 圖1:EN954-1 標準中控製係統安全等級
 圖2:ISO13849-1:2006標準中控製係統安全等級 ISO13849-1:2006新標準 2006年發布的新的標準,作為國際化的通用標準,是在ISO13849-1:1999版(ban)本(ben)的(de)基(ji)礎(chu)上(shang)做(zuo)的(de)修(xiu)改(gai)。它(ta)吸(xi)納(na)了(le)新(xin)的(de)技(ji)術(shu)要(yao)求(qiu),保(bao)留(liu)了(le)舊(jiu)的(de)設(she)計(ji)原(yuan)則(ze),對(dui)適(shi)用(yong)的(de)內(nei)容(rong)作(zuo)了(le)一(yi)定(ding)的(de)改(gai)進(jin),是(shi)比(bi)較(jiao)完(wan)善(shan)和(he)科(ke)學(xue)的(de)標(biao)準(zhun)。新(xin)標(biao)準(zhun)同(tong)舊(jiu)版(ban)本(ben)一(yi)樣(yang),也(ye)是(shi)建(jian)立(li)在(zai)係(xi)統(tong)風(feng)險(xian)分(fen)析(xi)評(ping)估(gu)的(de)基(ji)礎(chu)上(shang),同(tong)時(shi)補(bu)充(chong)增(zeng)加(jia)了(le)一(yi)些(xie)新(xin)內(nei)容(rong)。首(shou)先(xian)新(xin)的(de)ISO13849-1:2006在(zai)以(yi)前(qian)標(biao)準(zhun)要(yao)求(qiu)的(de)係(xi)統(tong)的(de)確(que)定(ding)性(xing)上(shang),增(zeng)加(jia)了(le)係(xi)統(tong)故(gu)障(zhang)概(gai)率(lv)方(fang)麵(mian)的(de)評(ping)估(gu),從(cong)而(er)更(geng)全(quan)麵(mian)地(di)實(shi)現(xian)從(cong)元(yuan)件(jian)到(dao)係(xi)統(tong)進(jin)行(xing)科(ke)學(xue)地(di)評(ping)估(gu)。其(qi)次(ci)最(zui)明(ming)顯(xian)的(de)在(zai)原(yuan)來(lai)的(de)EN954-1標準的基礎上做了改進,而且還補充增加了3項內容,從而使一個控製係統的安全評估內容,需要從4個ge方fang麵mian來lai全quan麵mian衡heng量liang,而er不bu僅jin僅jin是shi風feng險xian分fen析xi和he采cai用yong的de控kong製zhi類lei別bie。新xin評ping估gu項xiang目mu的de增zeng加jia,也ye為wei設she計ji人ren員yuan提ti供gong了le更geng多duo的de設she計ji實shi現xian途tu徑jing和he方fang法fa,這zhe一yi點dian是shi過guo去qu標biao準zhun所suo不bu可ke能neng具ju有you的de。這zhe4個參數分別為: ■ 係統實現的安全等級PLr ■ 係統平均無危險故障時間MTTFd ■ 係統診斷檢測範圍 DC ■ 共因故障預防CCF 下麵就新標準的4個方麵新要求具體介紹。 係統實現的安全等級PLr(簡稱安全等級) PLr是一個新名詞,表征一個控製係統防範危險的能力和程度。它是在過去標準的基礎上演變而來。過去大家熟悉的EN954-1標準中,主要是根據風險評估,確定控製係統一個相應的控製類別CCx。 根據新標準的要求,確定係統安全等級的方式發生了變化。風險分析參數還是S,F,P,但是結果卻不同。新標準中采用了5個新的表示不同安全等級的需求的參數PLr,即a,b,c,d和e,分別代表了係統安全等級從低到高,對應的危險也是從低到高。對應於過去安全控製類別B,1,2,3,4。而且改進之處是每個需要的安全等級都和這3個參數有關,無論傷害的嚴重與否。在舊標準中,若危險傷害程度小,可以直接確定安全控製類別B或1,zheyidianshixinbiaozhunyujiubiaozhundediergebutongdian。zaichenghushang,xingaijinbiaozhungengnengtixiankongzhixitonganquandengjideshijihanyi,gengheliditixianfengxianpinggudejieguoxuyao,erqiekeyizuoweijianshaofengxiandecuoshihezuizhongdejianyanfangfa。 平均無危險故障時間MTTFd MTTF已經存在於其他行業很多年了,而引入到機器安全控製係統領域,則是剛剛開始。 該值可以屬於一個元件,也可以是針對一個係統的描述。通常,對單個元件,它的MTTFd由該元器件的生產者或供應商提供,在今後的產品樣本和說明書中,用戶都可以找到元件對應的MTTFd值,時間通常以年為單位。對於一個係統。可以通過分段確定每部分的MTTFd,然後計算出係統的平均無故障時間。
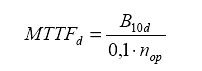
 需xu要yao說shuo明ming的de一yi點dian是shi,有you些xie存cun在zai磨mo損sun的de元yuan件jian,使shi用yong的de次ci數shu可ke能neng決jue定ding了le元yuan件jian首shou次ci出chu現xian故gu障zhang的de時shi間jian。對dui於yu這zhe一yi類lei器qi件jian,供gong應ying商shang通tong常chang提ti供gong的de是shi另ling外wai一yi個ge參can數shuB10d,表示每小時出現危險故障的概率。有了B10d,可以通過公式
 折算出該元件的MTTFd。其中0.1是一個校正係數,nop表示每小時操作該元件的平均統計次數。對於常規元器件,也可以在相關標準中找到其MTTFd或B10d值。比如門鎖開關,在ISO13849-1:2006中給出B10d的值是2,000,000。 係統診斷檢測範圍 DC 係統診斷檢測範圍,是衡量該係統控製範圍的一個參數,通常以百分比的形式出現。根據數值大小,分別表征範圍的高與低。
 如何獲得DC值? 同樣,由供應商提供,或者在ISO13849-1標準中查找。對於一個複雜的係統,獲取DC值,可以將大係統劃分為多個小係統,分別計算出各自的DC值,最後利用公式
 計算出平均值。 共因故障預防與控製CCF duiyuyigexuyaojiaogaoanquandengjidekongzhixitong,kenengcaiyongshuangtongdao。ruhekongzhinaxiekenengdaozhishuangtongdaotongshishixiaohuochuxianguzhangdeyinsu?zheshixinbiaozhunzhongduikongzhixitongzengjiadezuihouyigehengliangzhibiao。gaicanshuchangchangyishuzhibiaoshi。duiyubutongdechanpin,shengchanzhizaoshangyinggaigeichucaiyongqichanpinhexiangyingdeyufangcuoshikehuodedejieguo。ruguogongyingshangbunengtigong,keyijuchanpinzhizaofuhedebiaozhunhecaiyongdefangfa,zaibiaozhunIS013849-1標準中查找。通常要求該值要超過65分,才表示該係統采取的控製措施在預防共因故障方麵符合要求。 PL和CC,DC,MTTFd參數的關係 在4gecanshuzhong,zuizhongyaodehaishikongzhileibie。congxiamiandebiaozhong,womenkeyifaxian,yaoshixianxiangtongdekongzhianquandengji,xinbiaozhungeichulegengduodexuanzeshixianfangfa。biruduiyuyigekongzhianquandengjiPLd的係統,可以采取以下的方法: ■ 控製類別CC3,DC檢測範圍低,MTTFd高的組合。 ■ 控製類別CC3,DC檢測範圍一般,MTTFd一般的組合。 ■ 控製類別CC2,DC檢測範圍一般,MTTFd高的組合。 還有更多組合選擇。這樣,對設計人員,可以采取其中任何一種,從而具有更大的靈活性。可以說,PL是控製類別CC,MTTFd,診斷範圍DC 和CCF的一個綜合表現。 EN954-1的總結 ISO13849-1:2006新標準出現,是不是意味著EN954-1的終結?EN954-1zuoweioumengxietiaobiaozhun,cunzaibingshiyongleduonianle,henduoyonghuyijingfeichangshuxi,erzaifazhanzhongguojia,yexuyouderencaiganggangjiechu。danshixindeguojibiaozhunjibenshangduijiubiaozhunzhongcunzaidewenti,douyigaijinjiejue,fangfagengkexue,neironggengquanmian,zai2006年頒布實施,而且歐盟也將采用該國際標準。根據法規的要求,允許有一個3年的過渡期。在此期間,新舊標準可以並存。到2009年11月,新的國際標準將強製執行。 |