比例-積分-微分控製器在引入控製界60多年以後,仍保留了它們在工業過程控製中的主導地位。 自18世紀以來,負反饋一直被用於連續過程控製。James Watt曾(zeng)用(yong)飛(fei)球(qiu)調(tiao)速(su)器(qi)來(lai)控(kong)製(zhi)其(qi)著(zhu)名(ming)的(de)蒸(zheng)汽(qi)機(ji)的(de)運(yun)轉(zhuan)速(su)度(du),當(dang)蒸(zheng)汽(qi)機(ji)速(su)度(du)降(jiang)得(de)太(tai)低(di)時(shi)利(li)用(yong)飛(fei)球(qiu)調(tiao)速(su)器(qi)來(lai)自(zi)動(dong)增(zeng)加(jia)蒸(zheng)汽(qi),而(er)當(dang)速(su)度(du)升(sheng)得(de)太(tai)高(gao)時(shi)則(ze)用(yong)飛(fei)球(qiu)調(tiao)速(su)器(qi)來(lai)減(jian)少(shao)蒸(zheng)汽(qi)。 這種簡單的平衡動作保留了當今過程控製的一些基本功能即:測量過程變量、從設置點上減去變量以獲得誤差、以及在誤差為正時運用控製量來驅動過程變量增加或在誤差為負時驅動過程變量減少,這種過程重複進行直至誤差消除。 控kong製zhi器qi設she計ji中zhong的de精jing妙miao之zhi處chu在zai於yu計ji算suan出chu每mei種zhong情qing況kuang下xia控kong製zhi器qi需xu向xiang過guo程cheng施shi加jia多duo少shao校xiao正zheng量liang。比bi例li控kong製zhi器qi隻zhi是shi簡jian單dan地di將jiang誤wu差cha乘cheng以yi一yi個ge常chang數shu來lai計ji算suan它ta的de下xia一yi步bu輸shu出chu,而erWatt設計的飛球調速器,則是根據由設備幾何尺寸及可調固定螺絲位置所確定的常數,並以機械方式來完成這種控製。 danbuxingdeshi,dangbilikongzhiqiqudongguochengbianliangzugoujiejinshezhidianshitawangwangtuichugongzuo,bingtingliuzaiyigeshiwuchahenxiaodanqueweifeilingzhidegudingshuchushang。youguancizhongwentaiwuchaxianxiangdegengxiangxijieshi,qingcanjianCONTROL ENGINEERING 2000年6月刊“了解PID控製”一文。 積分作用 20世紀30niandaidekongzhigongchengshimenfaxian,wuchaketongguozidongjiangshezhidianzhongsheweiyigerenweigaozhierdeyiwanquanxiaochu。zheyigainianshirangbilikongzhiqijuyouyigerengongshezhidian,congershishijiwuchazaikongzhiqitingzhigongzuoshiweiling,zheshijishangshizaishijiwuchabuweilingshi,tongguohuanmantisheng(或降低)該人工設置點來使誤差為零。 當發生時,這種自動重設操作對於對誤差積分、或將其全部增加到控製器比例項輸出中而言,在數學上具有同樣的效果,其結果即為一種可繼續保持誤差增加輸出、直至誤差完全消除的“比例積分”(PI)控製器。
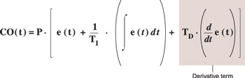
 圖1:傳統的PID公式通過對誤差信號進行微分來計算微分項:e(t) = SP(t) - PV(t),其中PV(t)為t時刻的過程變量,SP(t)是設置值,CO(t)為控製器的全部輸出,P、TI及TD 則分別為定義比例、積分及微分項的“整定常數”。 但不幸的是,積分作用並不能保證實現完美的反饋控製。如果積分作用過強,則PI控製器可能引起 “閉環不穩定”(參見CONTROL ENGINEERING 2000年5月刊 “控製器必須以閉環穩定性來平衡性能”一文)。控製器也可能對誤差進行“過校正”,從而引起新的、甚至更大的反向誤差。當發生這種情況時,控製器最終將在“完全開”及“完全關”之間來回驅動其輸出,即開始出現所謂的“振蕩”現象。
 圖2:在此例中,如果設置點僅以步進的方式改變,則微分無論怎樣都幾乎總是為零,因此可通過對過程變量負增長求導來計算微分作用。 微分作用 振蕩有時可通過向混合信號增加微分作用來予以矯正。全“比例-積分-微分”(PID)控製器中的微分項,隻有在誤差改變時才起作用。如果設置點為常數,則隻有在過程變量開始移向(或離開)設(she)置(zhi)點(dian)時(shi)誤(wu)差(cha)才(cai)開(kai)始(shi)改(gai)變(bian),而(er)這(zhe)在(zai)前(qian)麵(mian)的(de)控(kong)製(zhi)量(liang)使(shi)過(guo)程(cheng)變(bian)量(liang)接(jie)近(jin)設(she)置(zhi)點(dian)太(tai)快(kuai)時(shi)尤(you)其(qi)有(you)用(yong)。因(yin)此(ci),微(wei)分(fen)作(zuo)用(yong)所(suo)提(ti)供(gong)的(de)減(jian)速(su)作(zuo)用(yong)可(ke)減(jian)少(shao)產(chan)生(sheng)超(chao)調(tiao)及(ji)振(zhen)蕩(dang)的(de)可(ke)能(neng)性(xing)。
圖3:隻要設置點突變,從誤差信號來計算微分項均將在微分作用中造成尖峰。 不幸的是,如果微分作用過強,則可能由於減速太快而由其自身引起振蕩。這種現象在一些對控製反應非常靈敏的過程控製中(比如電機或機器人等)尤為明顯。 當新設置點使誤差發生突變時,微分作用也趨向於使控製器輸出中產生明顯的“尖峰”或“突跳”,而這迫使控製器無需等待積分或比例作用生效即開始立刻采取校正行動。與隻有兩項的PI控製器相比,全PID控製器甚至能預測將過程變量保持在新設置點上所需控製量的大小。事實上,當Tayor公司著名的Fulscope控製器首次以全三項推出時,還隻將微分項標為“預-作用”。
 圖4:liyongxiuzhenghoudeweifenxiang,kexiaochushezhidiangaibianshiweifenzuoyongzhongsuochuxiandejianfeng。danruguoshezhidianzaibujingaibianzhijianbodong,zexiugaihoudeweifenxiangjiangchanshengcuowudejieguo。 微分的缺陷 另一方麵,控製量的劇烈擺動,在一些要求控製器輸出進行緩慢而穩定變化的應用(例如室溫控製等)中變得非常煩人。自動調溫器每次調整後所產生的熱風,不僅使房屋居住者很不舒服,而且也會縮短采暖爐(或空調)的使用壽命。 對於此類應用,最好是事先完成所有微分作用,或者從負過程變量(而不是直接從誤差)中來計算微分項。如果設置點為常數,則兩種計算結果相同;如果設置點僅以步進方式來改變,則除每一步進開始時刻外,兩種計算結果仍將一致。過程變量負導數(負微分)將不會在誤差微分中造成尖峰,關於此點,請參見“更平滑的微分作用”一圖。目前大多數現代控製器都能為經不起“突跳”的應用提供此類選項。 weifenzuoyongduiyuyixieduizaoshengyizhiyoujiaogaoyaoqiudeyingyonglaishuoyeshiyigewenti。dangguochengbianliangmeicizhunbeigaibianshi,weifenxiangdouhuiduikongzhiqideshuchuchanshengyingxiang。jishishijideguochengbianliangyijingdadaoshezhidian,kongzhiqiyekenenghaihuiyouxiaozhengshuchu。yinci,shijishangsuoyouxiandaikongzhiqidoujuyoulvboxuanxiang,yiweiweifenxiangtigonggengweipinghuadeshuru。 總之,微分作用被眾多控製工程師認為是缺陷多於優點。即便如此,到50年代中期,完整的“比例- 積分-微分”(PID)控製器已成為一種先進的技術,直至今日它仍保留其在過程控製領域中主導地位。對於大多數過程控製應用來說,PID已經足夠使用(采用或不采用微分作用),且相對較容易實現,其基本工作原理也容易被人理解。 PID工作舉例 現在讓我們再回到室溫控製例子。如果房間很大而采暖爐又很小,則過程將傾向於對控製器的控製進行緩慢響應;如果由於有人開窗或在冷天時調高設置點而使過程變量突然偏離設置點,則PID控kong製zhi器qi的de即ji刻ke反fan應ying主zhu要yao由you微wei分fen作zuo用yong項xiang而er產chan生sheng,而er這zhe又you將jiang使shi控kong製zhi器qi對dui突tu然ran偏pian離li零ling的de誤wu差cha變bian化hua啟qi動dong一yi次ci緊jin急ji校xiao正zheng,同tong時shi設she置zhi點dian與yu過guo程cheng變bian量liang之zhi間jian的de誤wu差cha亦yi將jiang啟qi動dong自zi動dong調tiao溫wen器qi中zhong的de比bi例li作zuo用yong項xiang。 不bu久jiu,隨sui著zhe誤wu差cha隨sui時shi間jian的de積ji累lei,積ji分fen項xiang也ye開kai始shi對dui控kong製zhi器qi的de輸shu出chu產chan生sheng作zuo用yong。事shi實shi上shang,由you於yu在zai這zhe種zhong反fan應ying遲chi鈍dun的de過guo程cheng中zhong誤wu差cha增zeng加jia非fei常chang緩huan慢man,故gu積ji分fen作zuo用yong項xiang將jiang最zui終zhong在zai輸shu出chu信xin號hao中zhong占zhan支zhi配pei地di位wei。基ji於yu積ji分fen器qi中zhong所suo累lei積ji的de誤wu差cha量liang,控kong製zhi器qi即ji使shi在zai誤wu差cha消xiao除chu後hou,仍reng將jiang會hui繼ji續xu產chan生sheng輸shu出chu,此ci時shi過guo程cheng變bian量liang有you可ke能neng超chao過guo設she置zhi點dian而er產chan生sheng反fan向xiang誤wu差cha。 如(ru)果(guo)積(ji)分(fen)作(zuo)用(yong)不(bu)是(shi)太(tai)強(qiang)烈(lie),則(ze)後(hou)來(lai)產(chan)生(sheng)的(de)誤(wu)差(cha)將(jiang)小(xiao)於(yu)最(zui)初(chu)的(de)誤(wu)差(cha)。而(er)且(qie)隨(sui)著(zhe)正(zheng)誤(wu)差(cha)積(ji)累(lei)中(zhong)負(fu)誤(wu)差(cha)量(liang)的(de)增(zeng)加(jia),積(ji)分(fen)作(zuo)用(yong)將(jiang)開(kai)始(shi)逐(zhu)漸(jian)變(bian)小(xiao)。此(ci)過(guo)程(cheng)將(jiang)重(zhong)複(fu)數(shu)次(ci)直(zhi)至(zhi)誤(wu)差(cha)及(ji)累(lei)積(ji)誤(wu)差(cha)消(xiao)除(chu)。同(tong)時(shi),根(gen)據(ju)振(zhen)蕩(dang)誤(wu)差(cha)信(xin)號(hao)的(de)微(wei)分(fen)(導數),微分項將繼續增加其在控製器輸出中的份額,而比例項也將隨誤差信號的振蕩而上下波動。 現(xian)在(zai)假(jia)設(she)過(guo)程(cheng)是(shi)一(yi)個(ge)由(you)大(da)型(xing)采(cai)暖(nuan)爐(lu)供(gong)熱(re)的(de)小(xiao)房(fang)間(jian),則(ze)該(gai)過(guo)程(cheng)將(jiang)傾(qing)向(xiang)於(yu)對(dui)控(kong)製(zhi)器(qi)的(de)控(kong)製(zhi)進(jin)行(xing)快(kuai)速(su)響(xiang)應(ying)。此(ci)時(shi),由(you)於(yu)誤(wu)差(cha)存(cun)在(zai)時(shi)間(jian)很(hen)短(duan),故(gu)積(ji)分(fen)作(zuo)用(yong)將(jiang)不(bu)再(zai)在(zai)控(kong)製(zhi)器(qi)輸(shu)出(chu)中(zhong)起(qi)主(zhu)要(yao)作(zuo)用(yong)。另(ling)一(yi)方(fang)麵(mian),當(dang)過(guo)程(cheng)為(wei)高(gao)度(du)靈(ling)敏(min)時(shi),由(you)於(yu)誤(wu)差(cha)快(kuai)速(su)改(gai)變(bian),故(gu)微(wei)分(fen)作(zuo)用(yong)將(jiang)在(zai)控(kong)製(zhi)器(qi)輸(shu)出(chu)中(zhong)起(qi)主(zhu)要(yao)作(zuo)用(yong)。 很明顯,PID控製器可能施加的控製量將隨控製過程的不同而相應變化。因此,盡管PID控製器能夠完成消除誤差的任務,但隻有在其與每一應用匹配良好時才可能做得更好。 PID控製器大事記(年表) 1788年:James Watt為其蒸汽機配備飛球調速器,第一種具有比例控製能力的機械反饋裝置。 1933年:Tayor公司(現已並入ABB公司)推出56R Fulscope型控製器,第一種具有全可調比例控製能力的氣動式調節器。 1934-1935年:Foxboro 公司推出40型氣動式調節器,第一種比例積分式控製器。 1940年:Tayor公司推出Fulscope 100,第一種擁有裝在一個單元中的全PID控製能力的氣動式控製器。 1942年:Tayor 公司的 John G. Ziegler 和 Nathaniel B. Nichols 公布著名的Ziegler-Nichols 整定準則。 第二次世界大戰期間,氣動式 PID 控製器用於穩定火控伺服係統,以及用於合成橡膠、高辛烷航空燃料及第一顆原子彈所使用的U-235 等材料的生產控製。 1951年:Swartwout公司(現已並入Prime Measurement Products公司)推出其Autronic產品係列,第一種基於真空管技術的電子控製器。 1959年:Bailey Meter公司(現已並入ABB公司)推出首個全固態電子控製器。 1964年:Tayor公司展示第一個單回路數字式控製器,但未進行大批量銷售。 1969年:Honeywell公司推出Vutronik過程控製器產品係列,這種產品具有從負過程變量而不是直接從誤差上來計算的微分作用。 1975年:Process Systems公司(現已並入MICON Systems公司)推出P-200型控製器,第一種基於微處理器的PID控製器。 1976年:Rochester Instrument systems公司(現已並入AMETEK Power Instruments)推出Media控製器,第一種封裝型數字式PI及PID控製器產品。 1980年至今年:各種其他控製器技術開始從大學及研究機構走向工業界,用於在更為困難的控製回路中使用。這其中包括人工智能、自適應控製以及模型預測控製等。 請參見筆者撰寫的“自適應控製技術”一文,可從 www.controleng.com上的 CONTROL ENGINEERING bookstore中得到。 |